Or: What Variance Hammer actually does for a living.
I’ve made a number of posts about “the meta” – what’s currently hot the game, what the distribution of forces are, etc., from the perspective of statistically analyzing the current trends, especially in tournament play (where there’s lots of data).
But there’s a more fundamental aspect you could look at in the meta – how does it evolve, how to players respond to each other, etc. And like any system, you can build a model of that to look at key features, etc. Today, we’re going to look at a very simple one.
To me, one of the most obvious examples of the meta as an evolving system is in the use of Armored Ceramite and Melta weaponry in Horus Heresy. If everyone has a Meltagun, you should be using Armored Ceramite. But then surely the players with Meltaguns will stop bringing them, because they’re worth less than they otherwise would be. But then the players bringing Armored Ceramite are overpaying, drop it, and open up opportunities for new melta-focused players.
That’s an evolving system. Mathematically, this can be described as a series of differential equations (don’t panic, we’ll get to what these mean in a moment):
What we’re saying with these equations is that we can divide up the armies in the game into two groups: The tanks, and the people trying to kill them. Within each group, you can equip your army with Armored Ceramite or Melta Weapons respectively, or choose not to and go with bare metal or Plasma Weapons. The equations govern how you switch between these groups. For example, players decide to switch from Melta to Plasma at a rate of . Meaning every time a Melta army meets a Ceramite army, there’s a chance
that they’ll say screw it, pry off all their guns, and go with plasma guns. And the left hand part of the equation is saying we’re looking at the change in each of these groups over time as they interact with each other.
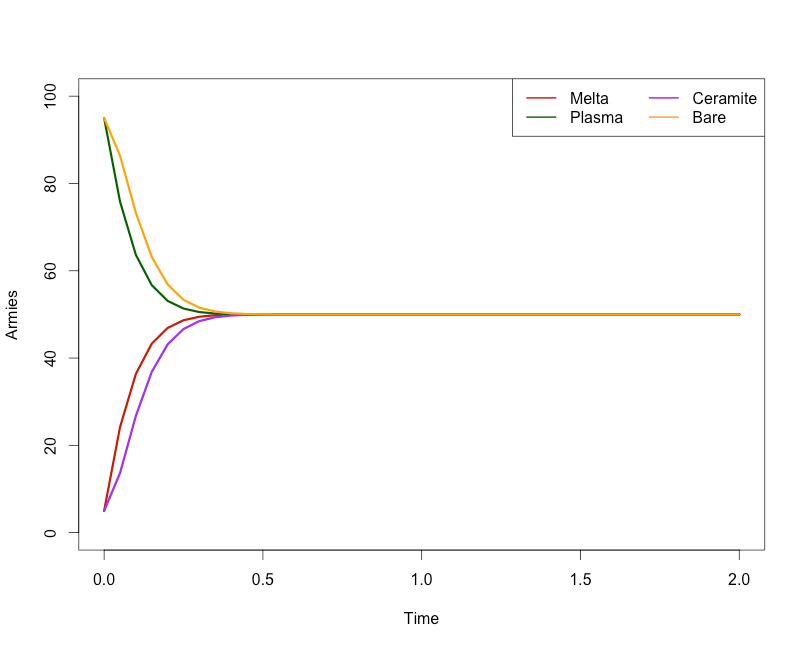
Graphically, this looks like this:
This is of course massively simplified, but lets pretend for a moment this is the entire game. Similarly, lets assume there are 200 armies in the world. 5 Melta, 95 Plasma, 5 Ceramite, and 95 Bare Metal. Similarly, lets assume each time an army meets their hard counter there’s a 5% chance that they switch. That is ,
,
and
all = 0.05. Again, these are largely arbitrary values – this is a thought experiment more than anything else.
How does that meta evolve over time?
As you can see, there’s a huge disruption at the beginning. With so many bare metal tanks there’s a huge opening for melta weaponry, and some of the infantry armies rapidly switch. A short while later, in response, there’s an upswing in armored ceramite armies to counter, and after a little more disruption, we reach a stable equilibrium. There’s a 50/50 chance of meeting your hard counter, but no real reason to move. This is the danger of a stale game – there is an equilibrium, and a system like this will try to find it. And once it’s found, it’s hard to leave that. Of course, it’ll never work perfectly like this in reality – not everything is a perfect hard counter for one and only one other army, etc., but the risk is still there. It’s one of the problems with Oldhammer – with nothing new to change things up, the system will head toward that equilibrium. And with no active development, it’s then entirely on the community to change things, and that’s difficult.
But what happens if things aren’t all equal? Changing weapons is hard – you’ve got to pry weapons off bunches of infantry models, buy new ones, repaint, etc. Switching from Armored Ceramite to bare metal is easier – you just say “Yeah, my Land Raider has Armored Ceramite.”
So lets say that the tank armies have a higher probability of switching – each game where they meet their counter, they switch 25% of the time. Mathematically, that means and
= 0.25.
Because the tank armies are so responsive, we just reach that equilibrium faster – the upsurge in melta weapons is countered very swiftly.
But what if it’s just one type of army that’s different than the others? For example, lets say that Games Workshop releases a Battle for Phall boxed set, with glorious, glorious Breacher marines, and people buy tons of them.

These guys don’t have the option of switching from melta to a more usable anti-tank option. So lets reduce , the probability that a melta army will switch after meeting its counter to 2.5%.
Things have changed! There’s that same rapid rise in melta-using armies because of the opportunity, followed by an uptick in Armored Ceramite protected tanks. But now, because it’s harder to switch away from melta weapons, there’s simply more armies using them – and this more Armored Ceramite armies countering them. We reach a different stable meta, this one dominated by melta armies and their hard counter (and presumably, some frustrated players), but this makes sense intuitively – if everyone has to take melta and can’t switch as easily, there will be more of it, and thus more people responding to that trend.
But what hasn’t changed is that there is a stable meta. It’s different, but there’s still an equilibrium condition, and the game gets predictable. So how do we really shake things up?
What GW and Forge World do is continually release new things. As we’ve seen, that doesn’t necessarily change that there’s a stable point, and that the system will tend towards it, but it does mean you can disrupt where that point is, and have the game spend more time in the dynamic, interesting place where it’s moving to stability, rather than where it’s at stability.
Lets say, instead of changing how easy it is to switch away from melta weapons that our hypothetical Calth set just adds a ton of new melta-equipped armies to the game.
That throws things into disarray for a bit – there’s an uptick in Armored Ceramite in response, followed by a slower transition away from melta-weapons as those players figure out it’s not all its cracked up to be, and while again, we reach an equilibrium, we’ve bought ourselves some more time.
Now lets do it again – adding a smaller disruption of an amazing tank that, while awesome for other reasons, isn’t allowed to take Armored Ceramite.
Now, in addition to a growing game, things are all over the place. We started with an orthodoxy that it didn’t matter which you picked, then headed to a place where Plasma was marginally more favored, then it reversed itself, etc. That kind of vibrancy is what you get out of an active release schedule.
So what was the point of all this? Beyond me figuring out how to add events to an ODE solver? The idea is to illustrate that, with some very simple concepts, you can illustrate – and then play around with – some of the realities of this hobby. This is a branching off point to make things even more complicated – you can add randomness. You could add groups that aren’t going to switch no matter what. You could have a series of local metas that act in isolation, and then come together at major tournaments and are then disrupted. You can add more complexity beyond just two armies that hard counter each other – making more armies, and adding a probability of losing, rather than just “If Melta meets Ceramite, it loses”.
All of those are extremely straightforward extensions of this same basic idea. They’re what I do for a living (albeit with things that make you sick, instead of toy soldiers). But mostly this post was just to show that there’s yet another tool in the toolkit to add some rationality and analysis to this hobby of ours.
Also, I needed a break from painting yellow test schemes.
Enjoy what you read? Enjoyed that it was ad free? Both of those things are courtesy of our generous Patreon supporters. If you’d like more quantitatively driven thoughts on 40K and miniatures wargaming, and a hand in deciding what we cover, please consider joining them.







Permalink
You forgot the part where the internet explodes and everyone freaks out during each Meta shift ; )
Kinda neat to see the forrest from the trees though isn’t it?
I wonder if GW has ever thought of it in these terms or whether it’s just what they’ve organically discovered worked over time.
Permalink
Those breather marines are fantastic! Is it an off the shelf kit (that google didn’t find) or a kit-bash?
Permalink
Those are Mk. III Tactical Marines combined with the shields and some of the arms from the Space Marine Boarding assault Upgrade Set (https://www.forgeworld.co.uk/en-US/Space-Marine-Boarding-Assault-Upgrade-Set)
Permalink
Thanks for the reply. They look seriously cool!